Yksittäisen tien rakenneparametrin luonti ja editointi

Listasta valitaan haluttu parametri.
Paaluväli määrää, millä välillä parametrin arvot ovat voimassa. Mikäli väliä ei määritetä, ylempi arvo on voimassa koko tielinjan matkalla. Jos väli on määritetty, voidaan arvoiksi antaa alku- ja loppuarvo, joiden välillä arvo muuttuu lineaarisesti. Paaluväli voidaan myös osoittaa pääikkunasta hiirellä.
Jos tämä asetus on pois päältä, parametri ei ole mukana laskennassa ja näkyy listassa suluissa.
Oikea ja vasen määräävät kummalla tien puoliskolla parametri on voimassa.
Parametrikohtaiset erikoisasetukset.
Ohjelma tukee tällä hetkellä seuraavia parametrejä:
TSV Tasausviivan korkeus
TSVY Tasausviivan siirto sivulle
TSVZ Tasausviivan siirto ylös
AL Ajoradan leveys
AL1 Ajoradan leveys taitepisteen jälkeen
AK Ajoradan kaltevuus
AK1 Ajoradan kaltevuus taitepisteen jälkeen
PL Pientareen leveys
PL1 Pientareen leveys taitepisteen jälkeen
PK Pientareen kaltevuus
PK1 Pientareen kaltevuus taitepisteen jälkeen
PP Päällysteen paksuus
KP Kantavan kerroksen paksuus
JP Jakavan kerroksen paksuus
SP Suodattavan kerroksen paksuus
RK Rakennereunan kaltevuus
JK Jakavan kerroksen kaltevuus

SK Sisäluiskan kaltevuus
OS Ojan syvyys
OSA Ojan syvyys absoluuttisesti
OSP Ojan syvyys pengeralueella
OL Ojan leveys
UL Ulkoluiskan leveys
UK Ulkoluiskan kaltevuus
PML Pintamaan leveys
PMLA Pintamaan leveys absoluuttinen
PMR Pintamaan poiston raja-arvo
PMP Pintamaan paksuus

OLK Ojan leveys kalliossa
ULK Ulkoluiskan leveys kalliossa
UKK Ulkoluiskan kaltevuus kalliossa

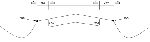
VKK Valekallion kaltevuus
VKY Valekallion siirto sivulle
VKZ Valekallion siirto alas

HO Haltuunottoalue
HOA Haltuunottoalue absoluuttinen
TAR Tiealueen raja
Y Poikkileikkauksen sivuraja
DY Poikkileikkauksen suhteellinen sivuraja

KAP1 Pinnan 1 jatkon kaltevuus
KAP2 Pinnan 2 jatkon kaltevuus
KAP3 Pinnan 3 jatkon kaltevuus
KAP4 Pinnan 4 jatkon kaltevuus
KAP5 Pinnan 5 jatkon kaltevuus
KAP8 Pinnan 8 jatkon kaltevuus

KAR1 Rakenteen kaltevuus pinnassa 1
KAR2 Rakenteen kaltevuus pinnassa 2
KAR3 Rakenteen kaltevuus pinnassa 3
KAR4 Rakenteen kaltevuus pinnassa 4
KAR5 Rakenteen kaltevuus pinnassa 5
KAR8 Rakenteen kaltevuus pinnassa 8

THY Tähysmerkin siirto sivulle
THZ Tähysmerkin siirto ylös

LTL Luiskan täyttö sivulle
LTKS Luiskan täytön sisäkaltevuus
LTOS Luiskan täytön ojan syvyys
LTOL Luiskan täytön ojan leveys
LTKU Luiskan täytön ulkokaltevuus

ILP Irtilouhinnan paksuus
ILK Irtilouhinnan kaltevuus
ILL Irtilouhinnan leveys

MLP Maalaatikon paksuus
MLL Maalaatikon leveys
MLK Maalaatikon kaltevuus

BPP Pyörätien päällysteen paksuus
BKP Pyörätien kantavan kerroksen paksuus
BJP Pyörätien jakavan kerroksen paksuus
BSP Pyörätien suodatinkerroksen paksuus
BAL Pyörätien ajoradan leveys
BAK Pyörätien ajoradan kaltevuus
BKL Pyörätien reunakiven leveys
BKK Pyörätien reunakiven korkeus

KHP Kalliohyllyn paljastus
KHL Kalliohyllyn leveys
KHK Kalliohyllyn korkeus

JKY Johtokaivannon siirto sivulle
JKZ Johtokaivannon siirto alas
JKL Johtokaivannon leveys
JKK Johtokaivannon reunan kaltevuus
JKPP Johtokaivannon pohjan paksuus
JKPH Johtokaivannon putken halkaisija
JKTP Johtokaivannon täytön paksuus

TEST1 Uusien parametrien testaukseen
TEST2 Uusien parametrien testaukseen
TEST3 Uusien parametrien testaukseen
Katso myös: Tieparametrit